选课结果即将出炉,快来看看深大热门课程排行榜『深大荔知』
预选阶段第一轮在今天12:00截止了,预选阶段第二轮将于7月10日(二)20:00-7月13日(五)12:00进行。
抽签结果即将出来,让我们一起来看看20181学期预选阶段第一轮的最热门选课排行榜吧~
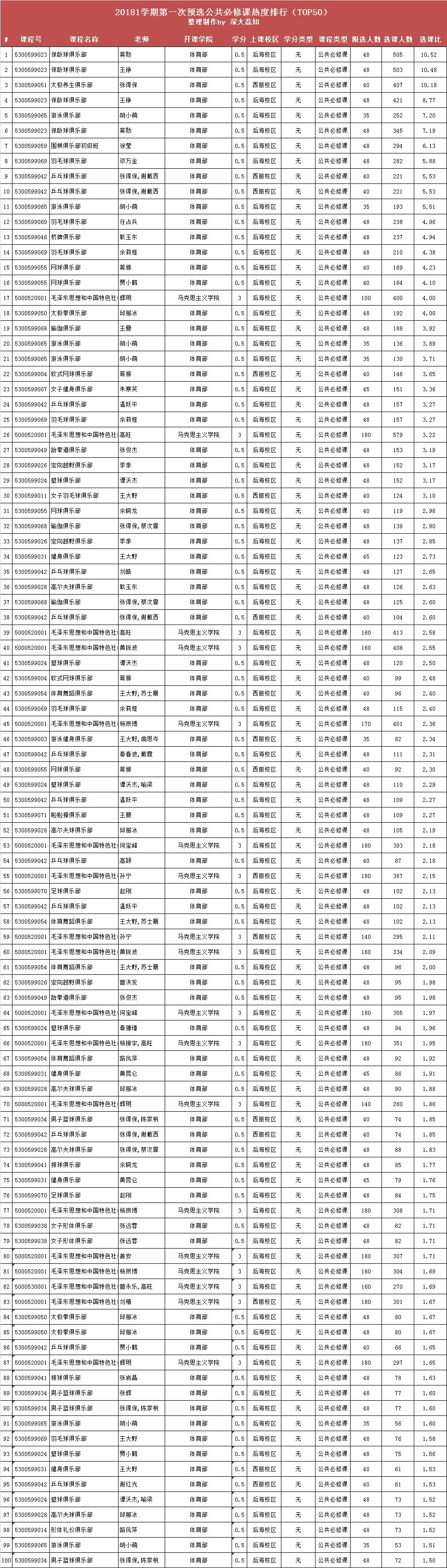
公共必修热度排行
▼点击图片查看高清版
在公共必修课之中,20181学期最受欢迎的体育课是保龄球、太极、游泳、围棋、羽毛球,而《毛泽东思想和中国特色社会主义理论体系概论(1)》中最受欢迎前五名是辉明、高旺、黄锐波、杨辰博、何宝峰老师。
公共选修热度排行
▼点击图片查看高清版
在公共选修课的排行中,排名前10的课程医学院包揽了7门。而校外的MOOC课程《女生穿搭技巧》本学期首次开课就有700多人选课。
男生比最高的课程
▼点击图片查看高清版
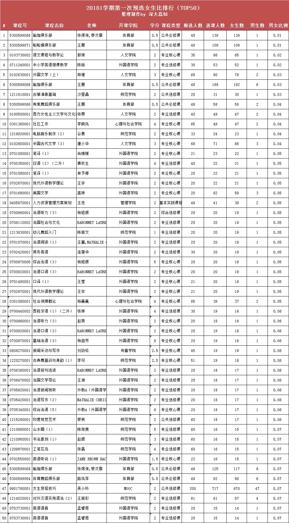
女生比最高的课程
▼点击图片查看高清版
上面两张图,嗯,给你个眼神,自己体会吧。
ps:以上数据来源于选课系统的总志愿人数,排行结果仅供参考。
即将进行的选课时间安排如下,别错过啦!
预选阶段(第二轮):7月10日20:00至7月13日12:00
选课确认阶段:8月31日9:00至9 月10日17:00
补选阶段:9月13日12:30至9月14日17:00
选课的网址(校外网也可直接打开,已放到阅读原文):
http://bkxk.szu.edu.cn
另外在荔知后台回复 课程评价 即可查看课程评价噢
日常咨询可加小知微信:withszu
商家社团合作加荔知菌:dearszu
西丽校区可加西西微信:niceszu



